Online Database of Chemicals from Around the World

Erythromycin A Oxime 11,12-Carbonate
[CAS# 118740-63-9]

Suppliers
CAS#: 118740-63-9
Product: Erythromycin A Oxime 11,12-Carbonate
No suppilers available for the product.
Identification
Name Erythromycin A Oxime 11,12-Carbonate
Synonyms (12Z)-8-(4-Dimethylamino-3-Hydroxy-6-Methyl-Tetrahydropyran-2-Yl)Oxy-2-Ethyl-9-Hydroxy-12-Hydroxyimino-6-(5-Hydroxy-4-Methoxy-4,6-Dimethyl-Tetrahydropyran-2-Yl)Oxy-1,5,7,9,11,13-Hexamethyl-3,15,17-Trioxabicyclo[12.3.0]Heptadecane-4,16-Dione; (12Z)-8-[(4-Dimethylamino-3-Hydroxy-6-Methyl-2-Tetrahydropyranyl)Oxy]-2-Ethyl-9-Hydroxy-12-Hydroxyimino-6-[(5-Hydroxy-4-Methoxy-4,6-Dimethyl-2-Tetrahydropyranyl)Oxy]-1,5,7,9,11,13-Hexamethyl-3,15,17-Trioxabicyclo[12.3.0]Heptadecane-4,16-Dione; (12Z)-8-(4-Dimethylamino-3-Hydroxy-6-Methyl-Tetrahydropyran-2-Yl)Oxy-2-Ethyl-12-Hydroximino-9-Hydroxy-6-(5-Hydroxy-4-Methoxy-4,6-Dimethyl-Tetrahydropyran-2-Yl)Oxy-1,5,7,9,11,13-Hexamethyl-3,15,17-Trioxabicyclo[12.3.0]Heptadecane-4,16-Quinone
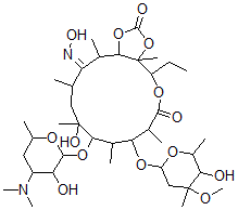
Molecular Structure CAS#: 118740-63-9, Erythromycin A Oxime 11,12-Carbonate
Molecular Formula C38H66N2O14
Molecular Weight 774.94
CAS Registry Number 118740-63-9
SMILES C(C3OC(=O)C(C(OC1OC(C(O)C(OC)(C1)C)C)C(C(OC2OC(CC(N(C)C)C2O)C)C(O)(CC(C(=N/O)/C(C4OC(OC34C)=O)C)C)C)C)C)C
InChI 1S/C38H66N2O14/c1-14-25-38(10)32(53-35(44)54-38)20(4)27(39-46)18(2)16-36(8,45)31(52-34-28(41)24(40(11)12)15-19(3)48-34)21(5)29(22(6)33(43)50-25)51-26-17-37(9,47-13)30(42)23(7)49-26/h18-26,28-32,34,41-42,45-46H,14-17H2,1-13H3/b39-27-
InChIKey RTCGTLWKKGKPPE-NOACJBATSA-N
Market Analysis Reports
List of Reports Available for Erythromycin A Oxime 11,12-Carbonate
Related Products
3'-C-Methylidene-2',3'-Dideoxy-5-Methylu...  N-Formyl-N-Hydroxy-trans-4-Aminostilbene  6-Nitrosobenzo(a)Pyrene  Ethyl 2-Bromo-2-Cyanoacetate  2-Chloromelatonin  1-Chloro-4-[3-[[2-(4-Ethoxyphenyl)-3,3,3...  2,6-Dichloro-4-(Trifluoromethoxy)Benzald...  L-Selenomethionine  N-Methyl-N-[(4-Methylphenyl)(Phenyl)Meth...  Disodium 3,4,5,6-Tetraoxocyclohexene-1,2...  tetranitrosyltetra-mu3-thioxotetra-Ferra...  Nalbuphine 3-Acetylsalicylate  (2S)-2-Amino-3-Aminooxypropanoic Acid  5-Amino-1,3-Diazinane-2,4,6-Trione  5-Methyl-3-Methylidenehexan-2-One