Online Database of Chemicals from Around the World

Scyliorhinin II (3-18)
[CAS# 117354-73-1]

供应商
CAS#: 117354-73-1
产品: Scyliorhinin II (3-18)
暂时没有厂家供应该产品。
基本信息
产品名称 Scyliorhinin II (3-18)
英文名 Scyliorhinin II (3-18)
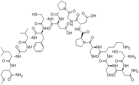
分子结构 CAS 登录号:117354-73-1, Scyliorhinin II (3-18)
分子式 C69H109N19O23S3
分子量 1668.91
CAS 登录号 117354-73-1
分子行输入简码 SMILES [C@@H](CS)(NC([C@@H](NC([C@@H]1CCCN1C(CNC([C@@H](NC([C@H]2N(C([C@@H](NC([C@@H](NC([C@@H](NC([C@@H](NC([C@@H](N)CO)=O)CC(N)=O)=O)CO)=O)CCCCN)=O)CS)=O)CCC2)=O)CC(=O)O)=O)=O)=O)CC(O)=O)=O)C(=O)N[C@H](C(N[C@@H](C(C)C)C(NCC(N[C@H](C(N[C@@H](CCSC)C(=O)N)=O)CC(C)C)=O)=O)=O)CC3=CC=CC=C3
国际化学标识码 InChI 1S/C69H109N19O23S3/c1-34(2)23-40(60(102)77-38(56(73)98)18-22-114-5)76-51(92)28-74-68(110)55(35(3)4)86-63(105)41(24-36-13-7-6-8-14-36)80-65(107)46(32-112)84-62(104)44(27-54(96)97)82-66(108)48-16-11-20-87(48)52(93)29-75-58(100)43(26-53(94)95)81-67(109)49-17-12-21-88(49)69(111)47(33-113)85-59(101)39(15-9-10-19-70)78-64(106)45(31-90)83-61(103)42(25-50(72)91)79-57(99)37(71)30-89/h6-8,13-14,34-35,37-49,55,89-90,112-113H,9-12,15-33,70-71H2,1-5H3,(H2,72,91)(H2,73,98)(H,74,110)(H,75,100)(H,76,92)(H,77,102)(H,78,106)(H,79,99)(H,80,107)(H,81,109)(H,82,108)(H,83,103)(H,84,104)(H,85,101)(H,86,105)(H,94,95)(H,96,97)/t37-,38-,39-,40-,41-,42-,43-,44-,45-,46-,47-,48-,49-,55-/m0/s1
国际化学标识检索码 InChIKey UWJWHWWYYBWSBA-AFKTXICNSA-N
物理化学性质
密度 1.372g/cm3 (计算值)
沸点 2033.3°C at 760 mmHg (计算值)
闪点 1183.5°C (计算值)
市场分析报告
请浏览Scyliorhinin II (3-18)市场分析报告总目录
相关产品
1-(2-硝基-4,5-二甲氧基苯基)-N,N,N...  2-(4-甲氧基苯基)茚-1,3-二酮  二(2,3,4,5,6-五氯苯基)草酸酯  4-氯苯甲酰基辅酶A  2-溴甲基-4,7-二氢-[1,3]二氧杂卓  2,2'-(4-甲基丙烯酰氧基二乙氧基苯基)丙烷  2-硫代谷氨酰-3,5,6-三氯-1,4-苯醌  L-酪氨酰甘氨酰甘氨酰-L-苯丙氨酰-L-亮氨酰甘...  甘氨酰-脯氨酰-(赖氨酰-脯氨酰-脯氨酰-脯氨酰)...  甘氨酰-脯氨酰-(赖氨酰-肌氨酰-肌氨酰-肌氨酰)...  1,1-二乙氧基-N-十四烷  (2S,3R,4S,5R,6R)-2-乙氧基-6-...  二齿配位四水合铑腺苷5'-三磷酸酯络合物  三齿配位的三水合铑-腺苷5'-三磷酸酯络合物  苯基丙酰-辅酶A