Online Database of Chemicals from Around the World

Dextronatrin
[CAS# 114752-42-0]

供应商
CAS#: 114752-42-0
产品: Dextronatrin
暂时没有厂家供应该产品。
基本信息
产品名称 Dextronatrin
英文名 Dextronatrin
别名 Dextronatrin; 2-24-Atrial Natriuretic Peptide-24 (Rat), 2-D-Tyrosine-
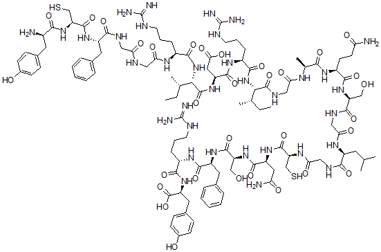
分子结构 CAS 登录号:114752-42-0, Dextronatrin
分子式 C110H166N34O32S2
分子量 2540.85
CAS 登录号 114752-42-0
分子行输入简码 SMILES [C@@H](NC(=O)[C@@H](NC(=O)CNC(=O)CNC(=O)[C@@H](NC(=O)[C@@H](NC(=O)[C@H](N)CC1=CC=C(O)C=C1)CS)CC2=CC=CC=C2)CCCNC(=N)N)(C(=O)N[C@H](C(=O)N[C@H](C(=O)N[C@H](C(=O)NCC(=O)N[C@H](C(=O)N[C@H](C(=O)N[C@H](C(=O)NCC(=O)N[C@H](C(=O)NCC(=O)N[C@H](C(=O)N[C@H](C(=O)N[C@H](C(=O)N[C@H](C(=O)N[C@H](C(=O)N[C@@H](CC3=CC=C(O)C=C3)C(=O)O)CCCNC(=N)N)CC4=CC=CC=C4)CO)CC(=O)N)CS)CC(C)C)CO)CCC(=O)N)C)[C@H](CC)C)CCCNC(=N)N)CC(=O)O)[C@H](CC)C
国际化学标识码 InChI 1S/C110H166N34O32S2/c1-8-56(5)88(143-98(166)68(25-18-38-122-110(118)119)134-101(169)74(45-87(156)157)138-106(174)89(57(6)9-2)144-97(165)66(23-16-36-120-108(114)115)129-84(153)47-123-82(151)46-124-93(161)71(41-59-19-12-10-13-20-59)135-104(172)79(54-178)142-91(159)65(111)40-61-26-30-63(147)31-27-61)105(173)127-48-83(152)128-58(7)90(158)132-69(34-35-80(112)149)96(164)140-76(51-145)94(162)126-49-85(154)130-70(39-55(3)4)92(160)125-50-86(155)131-78(53-177)103(171)137-73(44-81(113)150)100(168)141-77(52-146)102(170)136-72(42-60-21-14-11-15-22-60)99(167)133-67(24-17-37-121-109(116)117)95(163)139-75(107(175)176)43-62-28-32-64(148)33-29-62/h10-15,19-22,26-33,55-58,65-79,88-89,145-148,177-178H,8-9,16-18,23-25,34-54,111H2,1-7H3,(H2,112,149)(H2,113,150)(H,123,151)(H,124,161)(H,125,160)(H,126,162)(H,127,173)(H,128,152)(H,129,153)(H,130,154)(H,131,155)(H,132,158)(H,133,167)(H,134,169)(H,135,172)(H,136,170)(H,137,171)(H,138,174)(H,139,163)(H,140,164)(H,141,168)(H,142,159)(H,143,166)(H,144,165)(H,156,157)(H,175,176)(H4,114,115,120)(H4,116,117,121)(H4,118,119,122)/t56-,57-,58-,65+,66-,67-,68-,69-,70-,71-,72-,73-,74-,75-,76-,77-,78-,79-,88-,89-/m0/s1
国际化学标识检索码 InChIKey PHMJESQTBHPHMY-POMMFSKGSA-N
市场分析报告
请浏览Dextronatrin市场分析报告总目录
相关产品
2-甲基-6-丙基椭圆玫瑰树碱  补足乙酰基胆碱受体-相关肽  3'-叠氮基-2,6-二氨基嘌呤-2',3'-二脱...  [(2R,3S,5R)-5-(2,6-二氨基嘌呤-...  N-(5-羟基-9H-芴-2-基)乙酰胺  N-[(1S)-2-[4-(3-氨基丙基氨基)丁基...  1-(4-甲基苯基)-2-吡咯烷-1-基戊烷-1-...  (2R,3R,3aR,6E,10E,11aR)-3...  4-[二(3,3-二甲基丁烷-2-基氧基)磷酰]苯...  贝帕泛  2-氨基-9-(3-羟基丙氧基)-3H-嘌呤-6-...  5-[2,2-二(苯基)乙酰基]-4-[(4-甲氧...  N-(3,4-二甲基苯基)脲  2-[[1-[[3-[[2-氨基-3-(3-羟基苯...  2-[[1-[[3-[[2-氨基-3-(3-羟基苯...