Online Database of Chemicals from Around the World

Ferrocin A
[CAS# 114550-08-2]

Suppliers
CAS#: 114550-08-2
Product: Ferrocin A
No suppilers available for the product.
Identification
Name Ferrocin A
Synonyms Ferric (E)-N-[6,15,27-Tris[3-(Acetyl-Oxido-Amino)Propyl]-18-(Hydroxymethyl)-21-Isopropyl-12-Methyl-2,5,8,11,14,17,20,23,26,29-Decaoxo-1-Oxa-4,7,10,13,16,19,22,25,28-Nonazacyclohentriacont-30-Yl]Dec-3-Enamide; Ferric (E)-N-[6,15,27-Tris[3-(Acetyl-Oxidoamino)Propyl]-18-(Hydroxymethyl)-21-Isopropyl-12-Methyl-2,5,8,11,14,17,20,23,26,29-Decaoxo-1-Oxa-4,7,10,13,16,19,22,25,28-Nonazacyclohentriacont-30-Yl]Dec-3-Enamide; Ferric N-[3-[15,27-Bis[3-(Acetyl-Oxido-Amino)Propyl]-30-[[(E)-Dec-3-Enoyl]Amino]-21-Isopropyl-2,5,8,11,14,17,20,23,26,29-Decaketo-12-Methyl-18-Methylol-1-Oxa-4,7,10,13,16,19,22,25,28-Nonazacyclohentriacont-6-Yl]Propyl]-N-Oxido-Acetamide
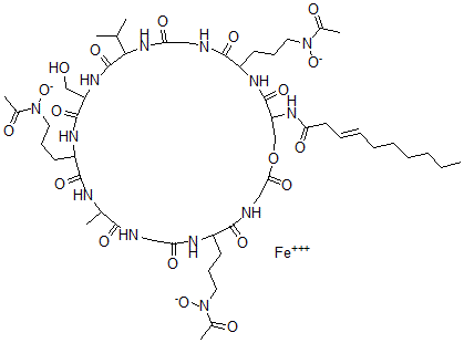
Molecular Structure CAS#: 114550-08-2, Ferrocin A
Molecular Formula C51H82FeN13O19
Molecular Weight 1237.13
CAS Registry Number 114550-08-2
SMILES C(O)C1NC(=O)C(NC(=O)CNC(=O)C(NC(=O)C(NC(=O)C\C=C\CCCCCC)COC(=O)CNC(=O)C(NC(=O)CNC(=O)C(NC(=O)C(NC1=O)CCCN([O-])C(=O)C)C)CCCN([O-])C(=O)C)CCCN([O-])C(=O)C)C(C)C.[Fe+3]
InChI 1S/C51H82N13O19.Fe/c1-8-9-10-11-12-13-14-21-40(69)57-39-29-83-43(72)27-54-46(74)35(18-15-22-62(80)32(5)66)56-41(70)25-52-45(73)31(4)55-48(76)37(20-17-24-64(82)34(7)68)59-49(77)38(28-65)60-51(79)44(30(2)3)61-42(71)26-53-47(75)36(58-50(39)78)19-16-23-63(81)33(6)67;/h13-14,30-31,35-39,44,65H,8-12,15-29H2,1-7H3,(H,52,73)(H,53,75)(H,54,74)(H,55,76)(H,56,70)(H,57,69)(H,58,78)(H,59,77)(H,60,79)(H,61,71);/q-3;+3/b14-13+;
InChIKey NFEHNCXMXVNUPC-IERUDJENSA-N
Market Analysis Reports
List of Reports Available for Ferrocin A
Related Products
2''-(Adenosine-5'-Phosphoryl)Tobramycin  Chloro(Glycinato)(1,10-Phenanthroline)Co...  Aqua(1,10-Phenanthroline)(Phenylalaninat...  7-Bromoheptanoylthreonine Phosphate  [(E)-3-[3-(Acetyloxymethyl)-5-Methoxy-1-...  [(E)-3-[5-Methoxy-3-(Methoxycarbonyloxym...  [(E)-3-[3-(Acetyloxymethyl)-5-Aziridin-1...  1-(2-Chloroethyl)-1-Nitroso-3-(4-Thiomor...  Cinnamido-2-Methyl-5-Oxoheptanoyl-Prolyl...  4-(2-Succinimidoethylthio)Phenyl 4-Guani...  Tunichlorin  3-(Glutathion-S-Yl)-1,4-Naphthoquinone  6,7-Epoxycanrenone  (1aS,3S,8R,9S,9aS)-1-Acetyl-7,9-bis(acet...  Triticone A