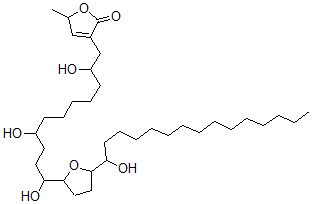
Identification
| Name |
Goniothalamicin |
| Synonyms |
5-Methyl-3-[2,8,11-Trihydroxy-11-[5-(1-Hydroxypentadecyl)Tetrahydrofuran-2-Yl]Undecyl]-5H-Furan-2-One; 5-Methyl-3-[2,8,11-Trihydroxy-11-[5-(1-Hydroxypentadecyl)-2-Tetrahydrofuranyl]Undecyl]-5H-Furan-2-One; Goniothalamicin |
|
| Molecular Structure |
 |
| Molecular Formula |
C35H64O7 |
| Molecular Weight |
596.89 |
| CAS Registry Number |
113817-64-4 |
| SMILES |
C(C1=CC(C)OC1=O)C(O)CCCCCC(CCC(C2OC(C(O)CCCCCCCCCCCCCC)CC2)O)O |
| InChI |
1S/C35H64O7/c1-3-4-5-6-7-8-9-10-11-12-13-17-20-31(38)33-23-24-34(42-33)32(39)22-21-29(36)18-15-14-16-19-30(37)26-28-25-27(2)41-35(28)40/h25,27,29-34,36-39H,3-24,26H2,1-2H3 |
| InChIKey |
NBVJDUCRUAUMAA-UHFFFAOYSA-N |
|