基本信息
| 产品名称 |
23-去((6-脱氧-2,3-二-O-甲基-beta-D-别吡喃糖基)氧基)-12,13-环氧-12,13-二氢泰乐菌素 |
| 英文名 |
23-De((6-deoxy-2,3-di-O-methyl-beta-D-allopyranosyl)oxy)-12,13-epoxy-12,13-dihydrotylosin |
| 别名 |
2-[(14E)-9-[5-(4,5-Dihydroxy-4,6-Dimethyl-Tetrahydropyran-2-Yl)Oxy-4-Dimethylamino-3-Hydroxy-6-Methyl-Tetrahydropyran-2-Yl]Oxy-3-Ethyl-7-Hydroxy-2,8,12,16-Tetramethyl-5,13-Dioxo-4,17-Dioxabicyclo[14.1.0]Heptadec-14-En-10-Yl]Acetaldehyde; 2-[(14E)-9-[[5-[(4,5-Dihydroxy-4,6-Dimethyl-2-Tetrahydropyranyl)Oxy]-4-Dimethylamino-3-Hydroxy-6-Methyl-2-Tetrahydropyranyl]Oxy]-3-Ethyl-7-Hydroxy-2,8,12,16-Tetramethyl-5,13-Dioxo-4,17-Dioxabicyclo[14.1.0]Heptadec-14-En-10-Yl]Acetaldehyde; 2-[(14E)-9-[5-(4,5-Dihydroxy-4,6-Dimethyl-Tetrahydropyran-2-Yl)Oxy-4-Dimethylamino-3-Hydroxy-6-Methyl-Tetrahydropyran-2-Yl]Oxy-3-Ethyl-7-Hydroxy-5,13-Diketo-2,8,12,16-Tetramethyl-4,17-Dioxabicyclo[14.1.0]Heptadec-14-En-10-Yl]Acetaldehyde |
|
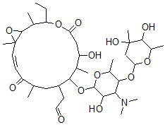
| 分子结构 |
 |
| 分子式 |
C38H63NO13 |
| 分子量 |
741.91 |
| CAS 登录号 |
111205-12-0 |
| 分子行输入简码 SMILES |
C(C4OC(=O)CC(O)C(C(OC2OC(C(OC1OC(C(O)C(O)(C1)C)C)C(N(C)C)C2O)C)C(CC(C(=O)/C=C/C3(OC3C4C)C)C)CC=O)C)C |
| 国际化学标识码 InChI |
1S/C38H63NO13/c1-11-27-21(4)35-38(8,52-35)14-12-25(41)19(2)16-24(13-15-40)32(20(3)26(42)17-28(43)49-27)51-36-31(44)30(39(9)10)33(22(5)48-36)50-29-18-37(7,46)34(45)23(6)47-29/h12,14-15,19-24,26-27,29-36,42,44-46H,11,13,16-18H2,1-10H3/b14-12+ |
| 国际化学标识检索码 InChIKey |
YCTQEQQSGKHSQT-WYMLVPIESA-N |
|