Online Database of Chemicals from Around the World

三七多糖A
[CAS# 109224-12-6]

供应商
CAS#: 109224-12-6
产品: 三七多糖A
暂时没有厂家供应该产品。
基本信息
产品名称 三七多糖A
英文名 Sanchinan A
别名 Sanchinan-A
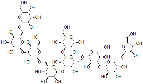
分子结构 CAS 登录号:109224-12-6, 三七多糖A
分子式 C53H90O45
分子量 1447.27
CAS 登录号 109224-12-6
分子行输入简码 SMILES [C@@H]5(OC1O[C@@H]([C@H](O)[C@H](O)[C@H]1O)CO[C@@H]4O[C@@H]([C@H](O)[C@H](O[C@@H]2O[C@@H]([C@H](O)[C@H](O)[C@H]2O)CO[C@@H]3O[C@@H]([C@H](O)[C@H](O)[C@H]3O)CO)[C@H]4O)CO)[C@@H](O)C(O[C@@H]([C@@H]5O)CO[C@@H]8O[C@@H]([C@H](O)[C@H](O[C@@H]6O[C@@H]([C@H](O)[C@H](O)[C@H]6O)CO[C@@H]7O[C@H]([C@H](O)[C@H]7O)CO)[C@H]8O)CO)O[C@H]9[C@@H](O)[C@H](O[C@@H](O)[C@@H]9O)CO
国际化学标识码 InChI 1S/C53H90O45/c54-1-10-19(59)28(68)33(73)47(87-10)83-7-16-22(62)30(70)35(75)51(92-16)96-42-25(65)13(4-57)89-48(38(42)78)84-8-17-23(63)31(71)36(76)52(93-17)98-44-27(67)18(94-53(40(44)80)95-41-24(64)12(3-56)86-45(81)37(41)77)9-85-49-39(79)43(26(66)14(5-58)90-49)97-50-34(74)29(69)21(61)15(91-50)6-82-46-32(72)20(60)11(2-55)88-46/h10-81H,1-9H2/t10-,11+,12-,13-,14-,15-,16-,17-,18-,19+,20+,21+,22+,23+,24+,25+,26+,27+,28+,29+,30+,31+,32-,33-,34-,35-,36-,37-,38-,39-,40-,41+,42+,43+,44+,45-,46-,47-,48-,49-,50+,51+,52?,53?/m1/s1
国际化学标识检索码 InChIKey RYHZSFNAGFOCEZ-PYXKSNNZSA-N
市场分析报告
请浏览三七多糖A市场分析报告总目录
相关产品
4-氧代-5-[[2-(苯基甲基)色满-6-基]甲...  5-[[2-(苯基甲基)色满-6-基]甲基]-1,...  2-[[2-[2-[2-(二(羧甲基)氨基)-5-...  5-[(2S,3R,4R,5S,6R)-3,4-二...  根皮苷基5'-叠氮苄  1-[(2R,3R,10R,12R,13S,14S...  N,N-二氯-2-(3H-咪唑-4-基)乙胺  1-[2-[2-(二(丙-2-基)氨基)乙氧基]苯...  1-[2-[2-(二(丙-2-基)氨基)乙氧基]苯...  N,N-二甲基-1-(1-苯基吲哚-3-基)甲胺  三甲基-[2-[6-(2-三甲基铵基乙氧基)哒嗪-...  2-溴-1-氯二苯并呋喃  2-[[2-[(1S,2R)-2-[2-(二(羧甲...  N-[3-[4-(肼基亚甲基氨基)苯基]-1-氧代...  N-[3-[4-[(二氨基亚甲基氨基)甲基]苯基]...