Online Database of Chemicals from Around the World

Cornusiin C
[CAS# 108906-53-2]

Suppliers
CAS#: 108906-53-2
Product: Cornusiin C
No suppilers available for the product.
Identification
Name Cornusiin C
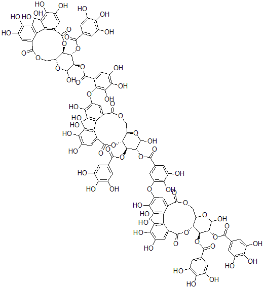
Molecular Structure CAS#: 108906-53-2, Cornusiin C
Molecular Formula C102H74O65
Molecular Weight 2339.67
CAS Registry Number 108906-53-2
SMILES [C@@H]9%17OC(=O)C1=CC(=C(O)C(=C1C8=C(O)C(=C(OC2=C(O)C(=C(O)C=C2C(O[C@@H]6[C@@H](OC(=O)C3=CC(=C(O)C(=C3)O)O)[C@@H]5OC(=O)C7=C(C4=C(O)C(=C(O)C=C4C(OC[C@H]5OC6O)=O)O)C(=C(O)C(=C7)O)O)=O)O)C=C8C(OC[C@H]9OC(O)[C@H](OC(=O)C%10=CC(=C(O)C(=C%10)O)OC%16=C(O)C(=C%15C%11=C(O)C(=C(O)C=C%11C(O[C@H]%14[C@H](OC(=O)C%12=CC(=C(O)C(=C%12)O)O)[C@@H](OC(=O)C%13=CC(=C(O)C(=C%13)O)O)C(OC%14COC(=O)C%15=C%16)O)=O)O)O)[C@H]%17OC(=O)C%18=CC(=C(O)C(=C%18)O)O)=O)O)O)O
InChI 1S/C102H74O65/c103-33-1-21(2-34(104)59(33)117)88(136)162-82-79-51(156-100(148)85(82)165-91(139)24-7-39(109)62(120)40(110)8-24)19-152-94(142)30-16-48(69(127)75(133)57(30)55-28(97(145)159-79)13-44(114)66(124)73(55)131)154-47-10-25(9-41(111)63(47)121)92(140)166-86-83(163-89(137)22-3-35(105)60(118)36(106)4-22)80-52(157-101(86)149)20-153-95(143)31-17-49(70(128)76(134)58(31)56-29(98(146)160-80)14-45(115)67(125)74(56)132)155-78-32(15-46(116)68(126)77(78)135)99(147)167-87-84(164-90(138)23-5-37(107)61(119)38(108)6-23)81-50(158-102(87)150)18-151-93(141)26-11-42(112)64(122)71(129)53(26)54-27(96(144)161-81)12-43(113)65(123)72(54)130/h1-17,50-52,79-87,100-135,148-150H,18-20H2/t50-,51?,52-,79-,80-,81-,82+,83+,84+,85-,86-,87-,100?,101?,102?/m1/s1
InChIKey DKWBPKQHAPBPBK-IIJAWXDASA-N
Properties
Density 2.26g/cm3 (Cal.)
Market Analysis Reports
List of Reports Available for Cornusiin C
Related Products
(2S)-2-[[(2S)-2-Acetamido-3-Phenylpropan...  (4R)-4-[(3S,7S,8R,9S,10R,12S,13R,14S,17R...  3-[(2S,3R,4S,5R,6R)-4,5-Dihydroxy-6-(Hyd...  Sodium 2-(3,4-Dihydroxyphenyl)-4-Oxo-7-S...  N6-(4-Azido-2-Hydroxy-5-(Iodo-125I)Benzo...  (2S)-2-[[(2R)-2-Amino-3-Sulfanylpropanoy...  N-[2-(5-Methoxy-1H-Indol-3-Yl)Ethyl]-2,4...  3-[(2S,4S,5R)-4-Hydroxy-5-(Hydroxymethyl...  (2,5-Dichlorophenyl) 2-Carbamoyloxybenzo...  2-(2-Methylpropylamino)-1,2-Di(Phenyl)Et...  1-[2-[4-(4-Amino-5-Hydroxy-6-Methyloxan-...  7-(4-Amino-5-Hydroxy-6-Methyloxan-2-Yl)O...  7-[2-(1-Hydroxybutan-2-Ylamino)Ethyl]-1,...  (2R)-6,7-Dichloro-5-(Dimethylsulfamoyl)-...  (7S,9S)-6,9,11-Trihydroxy-9-(2-Hydroxyac...