Online Database of Chemicals from Around the World

N-[(2S)-5-氨基-1-[(2-氨基-2-氧代乙基)氨基]-1-氧代戊烷-2-基]-1-[(4R,7S,10S,16S,19R)-19-氨基-7-(2-氨基-2-氧代乙基)-13-[(2S)-丁烷-2-基]-10-(1-羟基乙基)-20,20-二甲基-16-[(4-甲基苯基)甲基]-6,9,12,15,18-五氧代1,2-二硫杂-5,8,11,14,17-五氮杂环二十烷-4-羰基]吡咯烷-2-甲酰胺
[CAS# 106128-84-1]

基本信息
产品名称 N-[(2S)-5-氨基-1-[(2-氨基-2-氧代乙基)氨基]-1-氧代戊烷-2-基]-1-[(4R,7S,10S,16S,19R)-19-氨基-7-(2-氨基-2-氧代乙基)-13-[(2S)-丁烷-2-基]-10-(1-羟基乙基)-20,20-二甲基-16-[(4-甲基苯基)甲基]-6,9,12,15,18-五氧代1,2-二硫杂-5,8,11,14,17-五氮杂环二十烷-4-羰基]吡咯烷-2-甲酰胺
英文名 N-[(2S)-5-Amino-1-[(2-Amino-2-Oxoethyl)Amino]-1-Oxopentan-2-Yl]-1-[(4R,7S,10S,16S,19R)-19-Amino-7-(2-Amino-2-Oxoethyl)-13-[(2S)-Butan-2-Yl]-10-(1-Hydroxyethyl)-20,20-Dimethyl-16-[(4-Methylphenyl)Methyl]-6,9,12,15,18-Pentaoxo1,2-Dithia-5,8,11,14,17-Pentazacycloicosane-4-Carbonyl]Pyrrolidine-2-Carboxamide
别名 N-[(1S)-4-Amino-1-[(2-Amino-2-Oxo-Ethyl)Carbamoyl]Butyl]-1-[(4R,7S,10S,16S,19R)-19-Amino-7-(2-Amino-2-Oxo-Ethyl)-10-(1-Hydroxyethyl)-20,20-Dimethyl-16-[(4-Methylphenyl)Methyl]-6,9,12,15,18-Pentaoxo-13-Sec-Butyl-1,2-Dithia-5,8,11,14,17-Pentazacycloicosane-4-Carbonyl]Pyrrolidine-2-Carboxamide; N-[(1S)-4-Amino-1-[[(2-Amino-2-Oxoethyl)Amino]-Oxomethyl]Butyl]-1-[[(4R,7S,10S,16S,19R)-19-Amino-7-(2-Amino-2-Oxoethyl)-10-(1-Hydroxyethyl)-20,20-Dimethyl-16-[(4-Methylphenyl)Methyl]-6,9,12,15,18-Pentaoxo-13-Sec-Butyl-1,2-Dithia-5,8,11,14,17-Pentazacycloicos-4-Yl]-Oxomethyl]-2-Pyrrolidinecarboxamide; N-[(1S)-4-Amino-1-[(2-Amino-2-Keto-Ethyl)Carbamoyl]Butyl]-1-[(4R,7S,10S,16S,19R)-19-Amino-7-(2-Amino-2-Keto-Ethyl)-10-(1-Hydroxyethyl)-6,9,12,15,18-Pentaketo-20,20-Dimethyl-16-(4-Methylbenzyl)-13-Sec-Butyl-1,2-Dithia-5,8,11,14,17-Pentazacycloicosane-4-Carbonyl]Pyrrolidine-2-Carboxamide
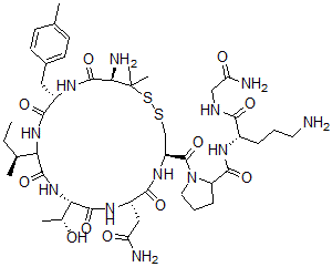
分子结构 CAS 登录号:106128-84-1, N-[(2S)-5-氨基-1-[(2-氨基-2-氧代乙基)氨基]-1-氧代戊烷-2-基]-1-[(4R,7S,10S,16S,19R)-19-氨基-7-(2-氨基-2-氧代乙基)-13-[(2S)-丁烷-2-基]-10-(1-羟基乙基)-20,20-二甲基-16-[(4-甲基苯基)甲基]-6,9,12,15,18-五氧代1,2-二硫杂-5,8,11,14,17-五氮杂环二十烷-4-羰基]吡咯烷-2-甲酰胺
分子式 C44H70N12O11S2
分子量 1007.23
CAS 登录号 106128-84-1
分子行输入简码 SMILES [C@H]1(NC(=O)C(NC(=O)[C@@H](NC(=O)[C@@H](N)C(SSC[C@H](NC(=O)[C@@H](NC1=O)CC(=O)N)C(=O)N2C(C(=O)N[C@H](C(=O)NCC(=O)N)CCCN)CCC2)(C)C)CC3=CC=C(C=C3)C)[C@H](CC)C)[C@H](O)C
国际化学标识码 InChI 1S/C44H70N12O11S2/c1-7-23(3)33-40(64)55-34(24(4)57)41(65)51-28(19-31(46)58)37(61)53-29(43(67)56-17-9-11-30(56)39(63)50-26(10-8-16-45)36(60)49-20-32(47)59)21-68-69-44(5,6)35(48)42(66)52-27(38(62)54-33)18-25-14-12-22(2)13-15-25/h12-15,23-24,26-30,33-35,57H,7-11,16-21,45,48H2,1-6H3,(H2,46,58)(H2,47,59)(H,49,60)(H,50,63)(H,51,65)(H,52,66)(H,53,61)(H,54,62)(H,55,64)/t23-,24+,26-,27-,28-,29-,30?,33?,34-,35+/m0/s1
国际化学标识检索码 InChIKey BBVOEYWBXSEVSR-VEIIYQESSA-N
物理化学性质
密度 1.237g/cm3 (计算值)
沸点 1453.471°C at 760 mmHg (计算值)
闪点 832.829°C (计算值)
市场分析报告
请浏览N-[(2S)-5-氨基-1-[(2-氨基-2-氧代乙基)氨基]-1-氧代戊烷-2-基]-1-[(4R,7S,10S,16S,19R)-19-氨基-7-(2-氨基-2-氧代乙基)-13-[(2S)-丁烷-2-基]-10-(1-羟基乙基)-20,20-二甲基-16-[(4-甲基苯基)甲基]-6,9,12,15,18-五氧代1,2-二硫杂-5,8,11,14,17-五氮杂环二十烷-4-羰基]吡咯烷-2-甲酰胺市场分析报告总目录
相关产品
(2S)-2-[[(2S)-2-[[(2S,3S)...  (2S)-5-(二氨基亚甲基氨基)-2-[[2-[...  (2S)-6-氨基-2-[[2-[(4-羟基苯甲酰...  1,3-二甲基-8-[2-(2,2,2-三氯-1-...  N-羟基-2-丙基戊酰胺  4-甲基-2-[2-(丙-2-基氨基)乙基]-2-...  1,2-二羟基吡啶-4-酮  3-[[2-氨基-5-(甲脒基-甲基氨基)-3-甲...  (2S,5R,6R)-6-[[(2R)-2-(3,...  2-乙氧基乙基月桂酸酯  5-[(2R)-2-[2-(2-乙氧基苯氧基)乙基...  3,9-二甲基-6-甲基亚胺-7H-嘌呤-8-酮  2-[[1-(二(羧甲基)氨基)-3-苯基丙烷-2...  2-(巯基甲基)戊烷二酸  4-[2-苯基-2-(4-苯基苯基)乙基]-3H-...