Online Database of Chemicals from Around the World

氯贝酸-辅酶A
[CAS# 104732-21-0]

供应商
CAS#: 104732-21-0
产品: 氯贝酸-辅酶A
暂时没有厂家供应该产品。
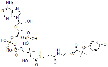
基本信息
产品名称 氯贝酸-辅酶A
英文名 Clofibric Acid-Coenzyme A
别名 S-[2-[3-[[(2R)-4-[[[(2R,3S,4R,5R)-5-(6-Aminopurin-9-Yl)-4-Hydroxy-3-Phosphonooxy-Tetrahydrofuran-2-Yl]Methoxy-Hydroxy-Phosphoryl]Oxy-Hydroxy-Phosphoryl]Oxy-2-Hydroxy-3,3-Dimethyl-Butanoyl]Amino]Propanoylamino]Ethyl] 2-(4-Chlorophenoxy)-2-Methyl-Propanethioate; 2-(4-Chlorophenoxy)-2-Methylpropanethioic Acid S-[2-[[3-[[(2R)-4-[[[(2R,3S,4R,5R)-5-(6-Amino-9-Purinyl)-4-Hydroxy-3-Phosphonooxy-2-Tetrahydrofuranyl]Methoxy-Hydroxyphosphoryl]Oxy-Hydroxyphosphoryl]Oxy-2-Hydroxy-3,3-Dimethyl-1-Oxobutyl]Amino]-1-Oxopropyl]Amino]Ethyl] Ester; 2-(4-Chlorophenoxy)-2-Methyl-Propanethioic Acid S-[2-[3-[[(2R)-4-[[[(2R,3S,4R,5R)-5-(6-Aminopurin-9-Yl)-4-Hydroxy-3-Phosphonooxy-Tetrahydrofuran-2-Yl]Methoxy-Hydroxy-Phosphoryl]Oxy-Hydroxy-Phosphoryl]Oxy-2-Hydroxy-3,3-Dimethyl-Butanoyl]Amino]Propanoylamino]Ethyl] Ester
分子结构 CAS 登录号:104732-21-0, 氯贝酸-辅酶A
分子式 C31H45ClN7O18P3S
分子量 964.17
CAS 登录号 104732-21-0
分子行输入简码 SMILES [C@H]1(O[C@@H]([C@@H](O[P](=O)(O)O)[C@H]1O)CO[P](O[P](OCC([C@@H](O)C(=O)NCCC(=O)NCCSC(=O)C(OC2=CC=C(Cl)C=C2)(C)C)(C)C)(=O)O)(=O)O)[N]3C4=C(N=C3)C(=NC=N4)N
国际化学标识码 InChI 1S/C31H45ClN7O18P3S/c1-30(2,24(42)27(43)35-10-9-20(40)34-11-12-61-29(44)31(3,4)55-18-7-5-17(32)6-8-18)14-53-60(50,51)57-59(48,49)52-13-19-23(56-58(45,46)47)22(41)28(54-19)39-16-38-21-25(33)36-15-37-26(21)39/h5-8,15-16,19,22-24,28,41-42H,9-14H2,1-4H3,(H,34,40)(H,35,43)(H,48,49)(H,50,51)(H2,33,36,37)(H2,45,46,47)/t19-,22-,23-,24+,28-/m1/s1
国际化学标识检索码 InChIKey YCMNRTMIKDPOSZ-VXAHOBLNSA-N
物理化学性质
密度 1.769g/cm3 (计算值)
市场分析报告
请浏览氯贝酸-辅酶A市场分析报告总目录
相关产品
噻奈普汀Mc(5)  4-[(乙酰氨基)甲基]环己烷羧酸  3beta-乙酰氧基-5-氧代-5,6-开链胆烷-...  Mayteine  1-(P-氯苯基)-1-苯基-2-丙炔-1-醇氨基...  1-(4-溴苯基)-1-苯基-2-丙炔-1-醇氨基...  4-(2-氯苯基)-alpha-(苯氧基甲基)-1...  1,2-二溴-3-氯-2-甲基丙烷  2-甲基-2-苯基-茚满-1-酮  2-[[1-[[[4'-[[2-[[4-(乙酰氨基...  3-二甲基氨基-2,2-二甲基-7-羟基-1-四l...  3-氧代-2-(2-苯基亚肼基)丁酸乙酯  (3aR,11bS)-2-氨基-5,6,9,11b...  Spartanamicin A  5-氟-(1,2,3,4-四氢-7,12-二甲基苯...