Online Database of Chemicals from Around the World

Bis(2-aminoethylphosphono)pentaoside
[CAS# 103147-89-3]

Suppliers
CAS#: 103147-89-3
Product: Bis(2-aminoethylphosphono)pentaoside
No suppilers available for the product.
Identification
Name Bis(2-aminoethylphosphono)pentaoside
Synonyms [(2R,3S,5R,6S)-4-[(2R,3R,4R,5R,6R)-3-Acetamido-4-[(2R,3R,4S,5S,6R)-3,5-Dihydroxy-6-(Hydroxymethyl)-4-Methoxy-Tetrahydropyran-2-Yl]Oxy-5-Hydroxy-6-(Hydroxymethyl)Tetrahydropyran-2-Yl]Oxy-5-[(2R,3R,4S,5R,6R)-6-[(2-Aminoethyl-Hydroxy-Phosphoryl)Oxymethyl]-3,4,5-Trihydroxy-Tetrahydropyran-2-Yl]Oxy-6-[(2R,3S,4R,5R,6R)-6-[(E,2R,3S)-2-(Heptadecanoylamino)-3-Hydroxy-Heptadec-4-Enoxy]-4,5-Dihydroxy-2-(Hydroxymethyl)Tetrahydropyran-3-Yl]Oxy-3-Hydroxy-Tetrahydropyran-2-Yl]Methoxy-(2-Aminoethyl)Phosphinic Acid; [(2R,3S,5R,6S)-4-[[(2R,3R,4R,5R,6R)-3-Acetamido-4-[[(2R,3R,4S,5S,6R)-3,5-Dihydroxy-6-(Hydroxymethyl)-4-Methoxy-2-Tetrahydropyranyl]Oxy]-5-Hydroxy-6-(Hydroxymethyl)-2-Tetrahydropyranyl]Oxy]-5-[[(2R,3R,4S,5R,6R)-6-[(2-Aminoethyl-Hydroxyphosphoryl)Oxymethyl]-3,4,5-Trihydroxy-2-Tetrahydropyranyl]Oxy]-6-[[(2R,3S,4R,5R,6R)-4,5-Dihydroxy-2-(Hydroxymethyl)-6-[(E,2R,3S)-3-Hydroxy-2-(1-Oxoheptadecylamino)Heptadec-4-Enoxy]-3-Tetrahydropyranyl]Oxy]-3-Hydroxy-2-Tetrahydropyranyl]Methoxy-(2-Aminoethyl)Phosphinic Acid; [(2R,3S,5R,6S)-4-[(2R,3R,4R,5R,6R)-3-Acetamido-4-[(2R,3R,4S,5S,6R)-3,5-Dihydroxy-4-Methoxy-6-Methylol-Tetrahydropyran-2-Yl]Oxy-5-Hydroxy-6-Methylol-Tetrahydropyran-2-Yl]Oxy-5-[(2R,3R,4S,5R,6R)-6-[(2-Aminoethyl-Hydroxy-Phosphoryl)Oxymethyl]-3,4,5-Trihydroxy-Tetrahydropyran-2-Yl]Oxy-6-[(2R,3S,4R,5R,6R)-6-[(E,2R,3S)-2-(Heptadecanoylamino)-3-Hydroxy-Heptadec-4-Enoxy]-4,5-Dihydroxy-2-Methylol-Tetrahydropyran-3-Yl]Oxy-3-Hydroxy-Tetrahydropyran-2-Yl]Methoxy-(2-Aminoethyl)Phosphinic Acid
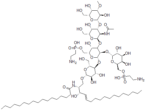
Molecular Structure CAS#: 103147-89-3, Bis(2-aminoethylphosphono)pentaoside
Molecular Formula C71H134N4O32P2
Molecular Weight 1617.79
CAS Registry Number 103147-89-3
SMILES [C@H]5(OC3[C@@H](O[C@H]1O[C@@H]([C@H](O)[C@H](O)[C@H]1O)CO[P](=O)(O)CCN)[C@H](O[C@H]2[C@H](O)[C@@H](O)[C@@H](O[C@@H]2CO)OC[C@@H](NC(=O)CCCCCCCCCCCCCCCC)[C@@H](O)\C=C\CCCCCCCCCCCC)O[C@@H]([C@@H]3O)CO[P](=O)(O)CCN)O[C@@H]([C@H](O)[C@H](O[C@@H]4O[C@@H]([C@H](O)[C@H](OC)[C@H]4O)CO)[C@H]5NC(=O)C)CO
InChI 1S/C71H134N4O32P2/c1-5-7-9-11-13-15-17-19-20-22-24-26-28-30-32-51(81)75-44(45(80)31-29-27-25-23-21-18-16-14-12-10-8-6-2)40-96-68-60(89)58(87)62(48(39-78)101-68)104-71-66(107-69-59(88)57(86)53(82)49(102-69)41-97-108(91,92)35-33-72)65(56(85)50(103-71)42-98-109(93,94)36-34-73)106-67-52(74-43(3)79)63(54(83)46(37-76)99-67)105-70-61(90)64(95-4)55(84)47(38-77)100-70/h29,31,44-50,52-71,76-78,80,82-90H,5-28,30,32-42,72-73H2,1-4H3,(H,74,79)(H,75,81)(H,91,92)(H,93,94)/b31-29+/t44-,45+,46-,47-,48-,49-,50-,52-,53+,54+,55+,56+,57+,58-,59-,60-,61-,62-,63-,64+,65?,66-,67-,68-,69-,70+,71+/m1/s1
InChIKey HYDZKGRJVPUAIP-ZKFCQCNZSA-N
Properties
Density 1.364g/cm3 (Cal.)
Market Analysis Reports
List of Reports Available for Bis(2-aminoethylphosphono)pentaoside
Related Products
7-Deacetylgedunin  Deacetyldihydrogedunin  4-(1-Propylpiperidin-3-Yl)Benzene-1,2-Di...  N-(2-Methoxyphenyl)-4,5-Dihydro-1,3-Thia...  Ethyl Methyl Sulfite  1,1,1,3,3,3-Hexafluoropropan-2-Yl Benzoa...  4-(2-Methylpropyl)Morpholine  4-(Phenylmethyl)Morpholine  3-(2-Methoxyphenyl)-2-Sulfanylidene-1H-Q...  Ethylene-1-octene copolymer  [(5S)-2-Amino-5-(Dimethylaminomethyl)-4,...  Disodium 2-[2,6-Dimethyl-5-(2-Oxido-2-Ox...  1-Chloro-4-[(4-Chlorophenyl)Sulfanylmeth...  10,12-Dimethylbenzo[a]Acridine  (2Z,4E)-2-Fluorohexa-2,4-Dienedioic Acid