基本信息
| 产品名称 |
硬脂酸与1,1'-亚氨基二(丙-2-醇)的化合物(1:1) |
| 英文名 |
Stearic Acid, Compound With 1,1'-Iminodi(Propan-2-Ol) (1:1) |
| 别名 |
1-(2-Hydroxypropylamino)Propan-2-Ol; Stearic Acid; Diisopropanolamine Stearate |
|
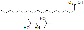
| 分子结构 |
 |
| 分子式 |
C24H51NO4 |
| 分子量 |
417.67 |
| CAS 登录号 |
10042-66-7 |
| EINECS 登录号 |
233-128-2 |
| 分子行输入简码 SMILES |
C(NCC(O)C)C(O)C.C(C(=O)O)CCCCCCCCCCCCCCCC |
| 国际化学标识码 InChI |
1S/C18H36O2.C6H15NO2/c1-2-3-4-5-6-7-8-9-10-11-12-13-14-15-16-17-18(19)20;1-5(8)3-7-4-6(2)9/h2-17H2,1H3,(H,19,20);5-9H,3-4H2,1-2H3 |
| 国际化学标识检索码 InChIKey |
WGQPIPNTXUNINT-UHFFFAOYSA-N |
|