| Shanghai Advanced Viecle Technology Co., Ltd. | China | |||
|---|---|---|---|---|
![]() | www.avt-cn.com | |||
![]() | +86 (21) 6139-1729 400-6262-623 | |||
![]() | +86 (21) 5156-1583 | |||
![]() | nelson@avt-cn.com | |||
| Chemical distributor | ||||
| chemBlink Standard supplier since 2010 | ||||
| Carbone Scientific Co., Ltd. | UK | |||
|---|---|---|---|---|
![]() | www.carbonesci.com | |||
![]() | +44 (870) 486-8629 | |||
![]() | +44 (870) 288-7399 | |||
![]() | sales@carbonesci.com | |||
| Chemical distributor | ||||
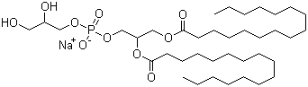
| Name | Dipalmitoyl phosphatidylglycerole sodium salt |
|---|---|
| Synonyms | 1,2-Dipalmitoyl-sn-glycero-3-phospho-rac-(1-glycerol) sodium salt |
| Molecular Structure | ![]() |
| Molecular Formula | C38H74O10P.Na |
| Molecular Weight | 744.95 |
| CAS Registry Number | 67232-81-9 |
| SDS | Available |
|---|---|
| Market Analysis Reports |