Online Database of Chemicals from Around the World

Coatsome MG 6060LS
[CAS 200880-41-7]

List of Suppliers
Hangzhou Leap Chem Co., Ltd. China
www.leapchem.com
+86 (571) 8771-1850
market19@leapchem.com
QQ Chat
Chemical manufacturer since 2006
chemBlink Standard supplier since 2015
Shochem(shanghai) Co., Ltd. China
www.shochem.com
+86 (21) 5178-3479
info@shochem.com
QQ Chat
Chemical manufacturer since 2016
chemBlink Standard supplier since 2018

Identification
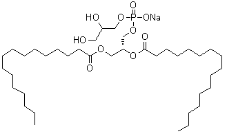
NameCoatsome MG 6060LS
Synonyms1,1'-[(1R)-1-[[[(2,3-Dihydroxypropoxy)hydroxyphosphinyl]oxy]methyl]-1,2-ethanediyl] dihexadecanoate sodium salt (1:1)
Molecular StructureCoatsome MG 6060LS molecular structure (CAS 200880-41-7)
Molecular FormulaC38H75O10P.Na
Molecular Weight745.96
CAS Registry Number200880-41-7
Safety Data
SDSAvailable
Market Analysis Reports
Related Products
Cnicus Benedict...  Cnidimol A  Cnidioside B me...  Coagulopoietin ...  Coal creosote  Coal tar  Coaltar  Coal tar distil...  Coal tar pitch,...  Coatsome Mc-212...  Cobalt  Cobalt  Cobalt  Cobalt-56  Cobalt acetate  Cobalt acetate  Cobalt(II) acet...  Cobalt Acetylme...  Cobalt(2+) Acry...  Cobalt Adenosin...