Online Database of Chemicals from Around the World

Hydroxypropyl-beta-cyclodextrin
[CAS 128446-35-5]

List of Suppliers
Nanjing Finetech Chemical Co., Ltd. China
www.fine-chemtech.com
+86 (25) 5207-8417
+86 17714198479
+86 (25) 5207-8417
sales@fine-chemtech.com
QQ Chat
Chemical manufacturer since 2007
chemBlink Standard supplier since 2007
Simagchem Corporation China
www.simagchem.com
+86 13806087780
+86 (592) 268-0237
sale@simagchem.com
Chemical manufacturer since 2002
chemBlink Standard supplier since 2008
Discovery Fine Chemicals Ltd. UK
www.discofinechem.com
+44 (1202) 874-517
+44 (845) 094-4385
pjc@discofinechem.com
Chemical manufacturer
chemBlink Standard supplier since 2009
Tocopharm (Shanghai) Co., Limited China
www.tocopharm.com
+86 (21) 3160-8287
+86 13776836200
+86 (21) 6129-2409
info@tocopharm.com
QQ Chat
Chemical manufacturer since 2012
chemBlink Standard supplier since 2009
Hefei TNJ Chemical Industry Co., Ltd. China
www.tnjchem.com
+86 (551) 6541-8684
+86 (551) 6541-8697
sales@tnjchem.com
Chemical manufacturer since 2001
chemBlink Standard supplier since 2010
BOC Sciences USA
www.bocsci.com
+1 (631) 485-4226
+1 (631) 614-7828
info@bocsci.com
Chemical manufacturer
chemBlink Standard supplier since 2010
Shandong Binzhou Zhiyuan Biological Technology Co., Ltd. China
www.bzzysw.com
+86 (543) 818-6048
klaus.chen@cydextrin.com
Chemical manufacturer since 2010
chemBlink Standard supplier since 2013
Hangzhou Leap Chem Co., Ltd. China
www.leapchem.com
+86 (571) 8771-1850
market19@leapchem.com
QQ Chat
Chemical manufacturer since 2006
chemBlink Standard supplier since 2015
Zibo Senlos Import&export Co., Ltd. China
www.senloschem.com
+86 (533) 491-2094
senloschem@gmail.com
Chemical distributor since 2018
chemBlink Standard supplier since 2018
Xi'an Deli Biochemical Industry Co., Ltd. China
www.xadl.com
+86 18165424546
mxy@xadl.com
Chemical manufacturer since 1999
chemBlink Standard supplier since 2019
Neostar United (Changzhou) Industrial Co., Ltd. China
www.neostarunited.com
+86 (519) 8555-7386
+86 18015025600
+86 (519) 8555-7389
marketing1@neostarunited.com
Chemical distributor since 2014
chemBlink Standard supplier since 2020
Riverland Trading LLC. USA
www.riverlandtrading.com
+1 (336).944-2293
bens@riverlandtrading.com
Chemical distributor
chemBlink Standard supplier since 2023
shandong zhonghuan zhongjie Biotechnology Co., Ltd. China
www.zh-cyclodextrins.com
18054508811
18054508811@163.com
Chemical manufacturer since 2022
chemBlink Standard supplier since 2025
Chemos GmbH & Co. KG Germany
www.chemos.de
+49 871-966346-0
+49 871-966346-13
chemos@chemos.de
Chemical distributor
CarboMer, Inc. USA
www.carbomer.com
+1 (858) 552-0992
+1 (858) 552-0999
sales@carbomer.com
Chemical manufacturer
Anvia Chemicals, LLC USA
www.anviachem.com
+1 (414) 534-7845
+1 (414) 762-5539
sales@anviachem.com
Chemical manufacturer
Yiming Fine Chemicals Co., Ltd. China
www.yimingchem.com
+86 (523) 8760-2671
+86 (523) 8763-9636
tangjun@yimingchem.com
txymsw@126.com
Chemical manufacturer
Anisyn, Inc. USA
www.anisyn.com
+1 (269) 372-8736
+1 (269) 372-3397
sales@anisyn.com
Chemical manufacturer

Identification
ClassificationBiochemical >> Carbohydrate >> Polysaccharide
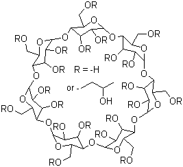
NameHydroxypropyl-beta-cyclodextrin
Synonymsbeta-Cyclodextrin 2-hydroxypropyl ethers; HPBCD; HPCD
Molecular StructureHydroxypropyl-beta-cyclodextrin  molecular structure (CAS 128446-35-5)
Molecular FormulaC42.(H)70-n.O35.(C3H7)n
CAS Registry Number128446-35-5 (94035-02-6)
EC Number420-920-1
SMILESCC(O)COCC1OC2OC3C(COCC(C)O)OC(OC4C(COCC(C)O)OC(OC5C(COCC(C)O)OC(OC6C(COCC(C)O)OC(OC7C(COCC(C)O)OC(OC8C(COCC(C)O)OC(OC1C(OCC(C)O)C2OCC(C)O)C(OCC(C)O)C8OCC(C)O)C(OCC(C)O)C7OCC(C)O)C(OCC(C)O)C6OCC(C)O)C(OCC(C)O)C5OCC(C)O)C(OCC(C)O)C4OCC(C)O)C(OCC(C)O)C3OCC(C)O
Properties
Melting point278 º°C (Expl.)
SolubilityH2O: soluble (Expl.)
Safety Data
Hazard Symbolssymbol   GHS07 Warning  Details
Risk StatementsH315-H319-H335  Details
Safety StatementsP261-P305+P351+P338  Details
SDSAvailable
up Discovery and Applications
Hydroxypropyl-β-cyclodextrin is a chemically modified derivative of β-cyclodextrin, a cyclic oligosaccharide composed of seven α-(1→4)-linked D-glucopyranose units. In hydroxypropyl-β-cyclodextrin, some of the hydroxyl groups on the glucose units are substituted with 2-hydroxypropyl (–CH2CHOHCH3) groups. This substitution is typically achieved through a reaction with propylene oxide under alkaline conditions, resulting in a non-ionic, highly water-soluble, and amorphous polymer. The final product is a statistical mixture of molecules with varying degrees and positions of substitution, characterized by an average molar substitution (MS) value.

The original β-cyclodextrin was first identified in the late 19th century through enzymatic degradation of starch. Its ability to form inclusion complexes with hydrophobic compounds within its toroidal cavity became a focal point of research in the 20th century, particularly in pharmaceutical and industrial chemistry. However, native β-cyclodextrin has limited aqueous solubility, which restricts its usefulness in formulations requiring high concentrations. The development of hydroxypropylated derivatives in the 1970s and 1980s addressed this limitation and enabled broader practical application.

Hydroxypropyl-β-cyclodextrin is widely used as a solubilizing agent in pharmaceutical formulations. Its primary function is to enhance the solubility and bioavailability of poorly water-soluble drugs through the formation of inclusion complexes, wherein the guest molecule is partially or wholly embedded within the hydrophobic cavity of the cyclodextrin. This encapsulation improves the drug’s dissolution rate, stability, and taste profile while protecting it from light, oxidation, or enzymatic degradation. Drugs that have been successfully formulated with hydroxypropyl-β-cyclodextrin include antifungals, anti-inflammatories, corticosteroids, and chemotherapeutics.

The compound is particularly favored for parenteral and oral dosage forms due to its high aqueous solubility, low toxicity, and minimal tendency to precipitate in solution. It is also used in ophthalmic, nasal, and topical drug delivery systems. Regulatory authorities such as the U.S. Food and Drug Administration (FDA) and the European Medicines Agency (EMA) have approved the use of hydroxypropyl-β-cyclodextrin in multiple marketed drug products. The safety of hydroxypropyl-β-cyclodextrin has been evaluated extensively. It is considered non-toxic at typical usage levels, non-immunogenic, and rapidly eliminated by the kidneys without significant metabolism.

In addition to its pharmaceutical uses, hydroxypropyl-β-cyclodextrin has applications in food and cosmetic industries. In food science, it is used to stabilize flavors, mask bitter tastes, and improve the solubility of fat-soluble nutrients. In cosmetics and personal care products, it acts as a carrier for fragrances and bioactive compounds, offering controlled release and protection against degradation. Its non-ionic nature ensures compatibility with a wide range of formulation components.

The degree of hydroxypropyl substitution affects the solubilizing capacity and physicochemical properties of the compound. Products are commercially available in various grades, with molar substitution values typically ranging from 0.4 to 1.2. These grades are selected based on specific application requirements such as solubility, viscosity, and complexation efficiency. Hydroxypropyl-β-cyclodextrin forms clear, non-viscous solutions in water and is stable over a broad pH range.

In biotechnology and analytical chemistry, hydroxypropyl-β-cyclodextrin is used in chiral separation techniques and drug screening assays. It can also aid in protein stabilization and act as a solubilizing excipient in vaccine formulations. Its broad applicability, safety profile, and regulatory acceptance make it a standard functional excipient in modern pharmaceutical science.

In summary, hydroxypropyl-β-cyclodextrin is a water-soluble, non-toxic cyclodextrin derivative widely employed to enhance the solubility, stability, and bioavailability of active compounds in pharmaceuticals, food, and cosmetics. Its unique ability to form inclusion complexes and its high compatibility with various formulation systems have established it as a versatile and essential excipient in product development.

References

none
Market Analysis Reports
Related Products
N-(3-Hydroxypro...  2-Hydroxypropyl...  Hydroxypropyl c...  Hydroxypropyl C...  Hydroxypropyl C...  (3-Hydroxypropy...  2-(2-Hydroxypro...  N-(3-Hydroxypro...  N-(2-Hydroxypro...  (2-Hydroxy)prop...  6-O-(2-Hydroxyp...  4-(2-Hydroxypro...  3-(3-Hydroxypro...  4-(2-Hydroxy-2-...  3-Hydroxy-5-Pro...  2-O-(2-Hydroxyp...  (1R,2S)-1-Hydro...  (1R,2R)-1-Hydro...  (1S,2R)-1-Hydro...  (1S,2S)-1-Hydro...