Online Database of Chemicals from Around the World

(-)-Oligomycin C
[CAS 11052-72-5]

List of Suppliers
Fermentek Ltd. Israel
www.fermentek.com
+972 (2) 585-3953
+972 (2) 585-3943
fermentek@fermentek.com
Chemical manufacturer since 1994
chemBlink Standard supplier since 2016

Identification
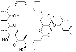
Name(-)-Oligomycin C
Molecular Structure(-)-Oligomycin C molecular structure (CAS 11052-72-5)
Molecular FormulaC45H74O10
Molecular Weight775.06
CAS Registry Number11052-72-5
EC Number234-276-0
Properties
SolubilitySlightly soluble (2.4 g/L) (25 °C), Calc.*
Density1.091 g/cm3**
*Calculated using Advanced Chemistry Development (ACD/Labs) Software V11.02 (©1994-2016 ACD/Labs)
**Palmer, Rex A.
Safety Data
Hazard Classification
up    Details
HazardClassCategory CodeHazard Statement
Acute toxicityAcute Tox.4H302
SDSAvailable
Market Analysis Reports
Related Products
Olibanum Gum  Olibanum Oil  Oliceridine  2',5'-Oligoaden...  2',5'-Oligoaden...  Oligo(2-(2-ethy...  Oligo[2-hydroxy...  Oligomycin  Oligomycin A  Oligomycin B  Oligophosphogly...  GM1-Oligosaccha...  Oligostatin D  Olinciguat  Olivamide Dea  Olivamidopropyl...  Olive oil  Olive Oil Peg-6...  Olivetol-d9  Olivetol