Online Database of Chemicals from Around the World

化学品安全技术说明书

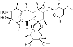
克拉霉素
[ CAS# 81103-11-9 ]

产品概述

structure of CAS# 81103-11-9, 克拉霉素
产品名称 克拉霉素
CAS 登录号 81103-11-9
分子式 C38H69NO13
分子量 747.96
克拉霉素的详细资料
克拉霉素的供应商
 
资料来源 SDS 样本
Alfa-Aesar
www.alfa.com/en/content/msds/USA/J66005.pdf
浏览或下载
Sigma-Aldrich
www.sigmaaldrich.com/catalog/Lookup.do?N5=All&N3=mode+matchpartialmax&N1=S_ID&ST=RS&N25=0&F=PR&D7=0&N4=81103-11-9
浏览或下载
TCI
www.spectrumchemical.com/MSDS/TCI-C2220.pdf
浏览或下载

免责声明

本页所列之化学品安全技术说明书样本系 chemBlink 公司搜集的互联网公开信息,仅用于指导化学品安全技术说明书的编辑与制作。chemBlink 竭诚提供可靠信息,然而不承诺其完备与准确。 阅读全文...




相关化学品安全技术说明书
3alpha-羟基普伐他汀钠盐   西沙必利   N-(1-金刚烷基甲基)-2-氯乙酰胺   7-氯-4-(4-羟基苯胺基)喹啉   顺式-4-羟基-L-脯氨酸甲酯   11-O-甲基克拉霉素   芴-D10   4-甲硫基苯甲酰肼   2-氨基-N-乙基-N-苯基苯磺酰胺   2-溴-4-三氟甲基苯酚