Online Database of Chemicals from Around the World

SDS Samples

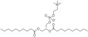
L-Didecanoylphosphatidylcholine
[ CAS# 3436-44-0 ]

Product Info

structure of CAS# 3436-44-0, L-Didecanoylphosphatidylcholine
Product Name L-Didecanoylphosphatidylcholine
CAS Registry Number 3436-44-0
Molecular Formula C28H56NO8P
Molecular Weight 565.72
More information of L-Didecanoylphosphatidylcholine
Suppliers of L-Didecanoylphosphatidylcholine
 
Source SDS Document
Sigma-Aldrich
www.sigmaaldrich.com/catalog/Lookup.do?N5=All&N3=mode+matchpartialmax&N1=S_ID&ST=RS&N25=0&F=PR&D7=0&N4=3436-44-0
View / download

Disclaimer

The SDS samples above are collected from the Internet by chemBlink and displayed here for the tutorial purpose only. chemBlink LLC provides the information contained herein in good faith but makes no representation as to its comprehensiveness or accuracy. Read full context...


More SDS files for chemicals
4-BroMo-O-(t-butyldiMethylsilyl)-2,6-dichlorophenol   1-Methyl-1H-imidazole-5-carbonyl chloride hydrochloride   3',4'-Dimethyl-Biphenyl-3-Carbaldehyde   3-{[3-(Trifluoromethyl)Benzyl]Oxy}Benzaldehyde   Bismuth trineodecanoate   DL-Kynurenine   Ginsenoside Ro   (4-Bromo-Phenyl)-(4-Trifluoromethoxy-Phenyl)-Methanone   H-Arg-Gly-Phe-Phe-OH   Ethyl 2-trifluoromethyl-4-oxopyrimidine-5-carboxylate