Online Database of Chemicals from Around the World

化学品安全技术说明书

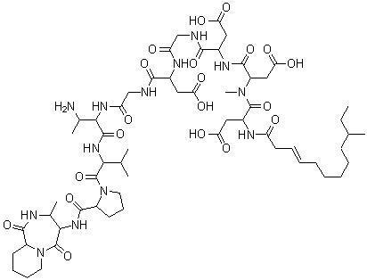
安福霉素
[ CAS# 1402-82-0 ]

产品概述

structure of CAS# 1402-82-0, 安福霉素
产品名称 安福霉素
CAS 登录号 1402-82-0
分子式 C58H91N13O20
分子量 1290.44
安福霉素的详细资料
安福霉素的供应商
 
资料来源 SDS 样本
Cayman
www.caymanchem.com/msdss/17091m.pdf
浏览或下载

免责声明

本页所列之化学品安全技术说明书样本系 chemBlink 公司搜集的互联网公开信息,仅用于指导化学品安全技术说明书的编辑与制作。chemBlink 竭诚提供可靠信息,然而不承诺其完备与准确。 阅读全文...




相关化学品安全技术说明书
FEMA2871   6-硝基-1,2,3,4-四氢喹啉   2-氯-6-甲基苯甲脒盐酸盐   异戊酸桂酯   3-氟-5-硝基苯甲酸   (2R)-2-[[6-[[(5-甲基噻吩-2-基)甲基]氨基]-9-丙基-9H-嘌呤-2-基]氨基]丁烷-1-醇   N,N-二苄基乙二胺   alpha-环己基-5H-咪唑并[5,1-a]异吲哚-5-乙醇   阿莫沙平   (1S)-3,3'-二(3,5-二甲基苯基)-5,5',6,6',7,7',8,8'-八氢-[1,1'-联萘]-2,2'-二醇