Online Database of Chemicals from Around the World

化学品安全技术说明书

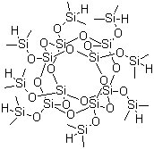
二甲基硅烷基笼形聚倍半硅氧烷
[ CAS# 125756-69-6 ]

产品概述

structure of CAS# 125756-69-6, 二甲基硅烷基笼形聚倍半硅氧烷
产品名称 二甲基硅烷基笼形聚倍半硅氧烷
CAS 登录号 125756-69-6
分子式 C16H56O20Si16
分子量 1017.98
二甲基硅烷基笼形聚倍半硅氧烷的详细资料
二甲基硅烷基笼形聚倍半硅氧烷的供应商
 
资料来源 SDS 样本
Sigma-Aldrich
www.sigmaaldrich.com/catalog/Lookup.do?N5=All&N3=mode+matchpartialmax&N1=S_ID&ST=RS&N25=0&F=PR&D7=0&N4=125756-69-6
浏览或下载
TCI
www.spectrumchemical.com/MSDS/TCI-O0351.pdf
浏览或下载

免责声明

本页所列之化学品安全技术说明书样本系 chemBlink 公司搜集的互联网公开信息,仅用于指导化学品安全技术说明书的编辑与制作。chemBlink 竭诚提供可靠信息,然而不承诺其完备与准确。 阅读全文...




相关化学品安全技术说明书
1-甲基-1H-吲唑-4-硼酸盐酸盐   4-(4-(三丁基锡烷基)苯基)吗啉   6-氨基-2-溴-3-氟苯酚   2-氟-5-硝基苯甲酸苯基酯   5-氯-3-氟-2-吡啶甲胺盐酸盐   3-乙氧基-4-溴苯胺盐酸盐   N-(9-芴甲氧羰基)-L-丝氨酸苯甲酰甲酯   4-甲基-N-[4-[(4-甲基-1-哌嗪基)甲基]-3-(三氟甲基)苯基]-3-[2-(1H-吡唑并[3,4-b]吡啶-5-基)乙炔基]苯甲酰胺   4-(二乙氧基甲基)-1-(1,1-二甲基乙基)-1H-1,2,3-三唑   2-(4-氟苯基)二氢-6-甲基-4H-1,3,6,2-二氧杂氮杂环硼辛烷-4,8(5H)-二酮